Articles in this Volume

Research Article Open Access
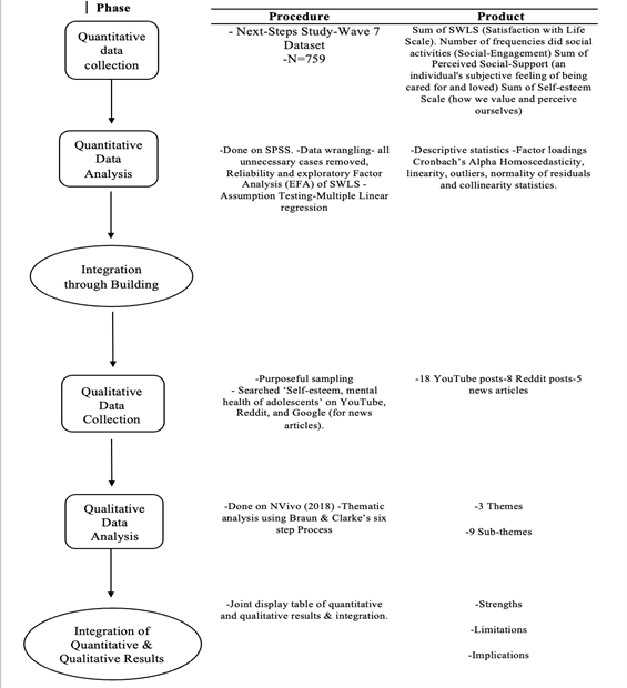
The Impact of Social-engagement, Social-support and Self-esteem on Life Satisfaction in UK Youth: A Sequential Explanatory Mixed Methods Study
Article thumbnail
Significant changes in adolescent physiology and psychology have been linked to a decline in adolescents’ sense of well-being. That’s why it’s so important to study what makes people happy in order to help teenagers flourish. The purpose of this research is to demonstrate the value of a correlational design and thematic analysis in revealing the underlying mechanisms at play in teenage social connection, self-esteem, and life satisfaction through the use of a mixed-methods sequential explanatory display. Our predictions that self-esteem (26%), social-support (1%) and social-engagement (1%) each accounted for a significant portion of the unique variance on the Satisfaction with Life Scale are supported by data from the Seventh-Sweep Study-Wave 7 Dataset (N=759). The quantitative results are corroborated by a thematic analysis of social-media and newspaper comments (N=126), which reveals that young people with high self-esteem are more likely to have positive school and social connections, use coping techniques, and express their true selves. Low self-esteem, on the other hand, may have detrimental effects on happiness, such as the promotion of psychological disorder and risky behaviours as well as underpinning academic and social isolation. Therefore, it may be beneficial for adolescents’ well-being to place an emphasis on school connectedness, social support, and positive self-perception.
Show more
Read Article PDF
Cite
Research Article Open Access
State Formation Patterns: China, European Countries, and Decolonized Countries
The exploration of state formation patterns is a multifaceted and intricate field of study, encompassing a range of factors such as geography, history, and culture. It is essential to comprehend different nations’ various state formation models to gain a holistic understanding of their political, societal, and economic structures. This study seeks to conduct a comparative analysis of state formation patterns in diverse countries and elucidate their unique characteristics within their respective historical and cultural contexts. By examining historical facts and taking into account the geographical, historical, and cultural dimensions, this research aims to contribute to the understanding of the political, societal, and economic systems in China, European nations, and formerly colonized regions. These elements have given rise to distinct state formation traits in these areas, firmly rooted in their distinctive historical and cultural heritages. Furthermore, this analysis sheds light on the interconnectedness of these factors, offering a comprehensive perspective on state formation across the globe.
Show more
Read Article PDF
Cite
Research Article Open Access
Why the French Army Was So Vulnerable During World War II?
France, who bravely fought against Germany in World War I, only resisted for 42 days in World War II. It is a huge gap that is unimaginable. The paper aims to analyze why this happens. The gap is mainly reflected in the differences in military theories and the use of tanks during the war. After summarizing the experience of World War I, France believed that solid fortifications would bring victory. So they built the Maginot Line to defend German’s attack. In contrast, Germany believed developing tank forces that could attack quickly would be more advantageous. So they developed Blitzkrieg, a kind of tactic that utilize the defense, firepower, and mobility of armored forces for large-scale deep penetration. Therefore, the German army had the chance to quickly bypass the Maginot Line, cross the Aden Mountains, and penetrate the enemy’s rear, forcing the British French coalition to retreat from Dunkirk and then surrounded Paris.
Show more
Read Article PDF
Cite
Research Article Open Access
Parenting Style in Single-parent Family Influence on the Development of Adolescent Depression
Parenting styles have been shown through empirical studies to be a central determinant in the depression of youth throughout the past decades. This review examines the two most dominant negative parenting styles in single-parent families and explores how single parents with two negative parenting styles contribute to adolescent depression. Based on the special economic constraints and excessive parenting responsibilities, single parents are apt to adopt authoritarian parenting and neglect parenting styles, in which authoritarian parenting styles presenting restrictive rules and harsh punishments will lead to low-level parenting self-esteem and high levels of emotional disturbances for teenagers. Also, neglectful parenting styles which are characterized by fewer parental involvements will significantly impair the adolescent’s disability to express and manage emotions. The conclusion is that authoritarian parenting style and neglectful parenting style negatively influence adolescent depression in single-parent families. This review provides a perspective on the impact of single-parent family background on adolescent depression. Future research should focus on how to help parents develop appropriate parenting styles to decrease the risks of suffering depression for adolescents.
Show more
Read Article PDF
Cite
Research Article Open Access
Content Optimization of Teaching Evaluation Scale for College Teachers with Emerging of Artificial Intelligence: A Case Study
This paper uses the Teacher Evaluation Scale for Higher Education Teachers in the Context of Artificial Intelligence (AI) as the basis for problem elucidation and explores AI-induced changes in teaching and learning through the medium of evaluation. Teachers’ roles need to be more comprehensive and flexible than in the past to cope with the diversified teaching under the participation of AI; teachers need to insist on and continuously improve their humanistic qualities to answer to the higher spiritual needs of students; while using AI to assist in teaching, teachers need to keep abreast of the development, and control the limit of students’ use, to avoid the indiscriminate use of AI caused by the eyeless worship. Teaching should use science and technology to discover more methods of knowledge transfer, showing students the details of knowledge application and providing students with a platform for high-level exchanges; Learning practice cannot be replaced by AI, which should become the practice of the assistant rather than a replacement. Current evaluation scales need to be more refined and precise for teachers and teachers and provide effective measures to deal with the educational problems of AI.
Show more
Read Article PDF
Cite
Research Article Open Access
ChatGPT in Higher Education: Design Teaching Model Involving ChatGPT
Article thumbnail
There are two different views on the application of ChatGPT since its birth in higher education in academia: some suggest ChatGPT should be used by faculty and students to promote digital reform, and some believe that all applications of ChatGPT should be strictly regulated. With the widespread adoption of ChatGPT in universities, many researchers have found that it can improve learning performance and form personalised learning. However, the rising problems of academic integrity and misadvise should also be considered. Therefore, this study uses the literature review method to analyse the latest documents on the application of ChatGPT in higher education about its advantages, disadvantages and impact in educational fields. Moreover, it focuses on making a teaching model that aims to use ChatGPT effectively and efficiently, assisting the classroom. To construct this teaching model reasonably, the study divides it which, assisted by ChatGPT, into three parts: the teaching process, the multi-subject relationship and the multi-dimension evaluation, and tries to integrate CHatGPT into traditional classroom teaching. Based on the teaching design, some suggestions for using ChatGPT in higher education are made for future research: in the teaching process, ChatGPT can be viewed as a supplementary to traditional class; compared with the binary student-teacher relationship, the multi-subject relationship between student, teacher and ChatGPT can provide more emotional and interactive support; the participation of ChatGPT can increase make teaching evaluation more diverse. The study shows a positive attitude about using ChatGPT in higher education.
Show more
Read Article PDF
Cite
Research Article Open Access
China-ASEAN Agricultural Product Trade and Its Impact
Article thumbnail
With the establishment of the China-ASEAN (Association of Southeast Asian Nations) Free Trade Area, a world’s largest consumer market is forming which includes over 2 billion people. According to the Early Harvest program, the terms of trade of agricultural products bilateral have been improving and the volume has increased significantly, overall presents a strong resource-market pattern of mutual benefit and complementarity. This paper describes the present situation of China-ASEAN trade pattern of agricultural products, meanwhile points out the complementary and competitive relationship of agricultural products trade and the problems exist as well as the countermeasures. This is quite significant for China to improve its agriculture competitive in the region and even in the world. This paper uses the comparative advantage theory analysis method. Although the establishment of the comprehensive strategic partnership needs more efforts and cooperation from both sides, agricultural trade is one of the important concrete actions for laying the foundation for prosperity and peace of bilateral relations.
Show more
Read Article PDF
Cite
Research Article Open Access
A Study on the Actual Problems in Okinawa and Its Attitude Toward the United States in the Context of the Expansion of the Actual Power of the US Military Base in Japan
Against the backdrop of the post-World War II U.S.-Japan security agreement and the construction of U.S. military bases in Okinawa, this article discusses the reasons for the resistance of the Okinawan people to the U.S. military station. The geographical location of Okinawa Island is extremely special, and it is an important checkpoint in the Pacific Ocean. To the north of Okinawa is Japan’s main island, and to the south of Okinawa is Taiwan Island, which is relatively close to the South China Sea and has an important strategic position. In the process of researching the causes, the article will study the influence of U.S. forces in Okinawa in three aspects. The method is to explore the adverse effects of the US military stationed in Okinawa and the reasons why Okinawans oppose the military based on the local environment and people’s rights and interests in Okinawa. Okinawa’s solution to the troop garrison problem should be to defend its homeland rights through protests and litigation, and reduce the expansion of U.S. bases in the long term.
Show more
Read Article PDF
Cite
Research Article Open Access
Environmental Diplomacy in Transition: Contemporary Impediments and Policy Countermeasures
In today’s interconnected world, environmental issues such as rising temperatures, water scarcity, and deforestation have taken center stage, demanding immediate and comprehensive responses. As a vital component of global governance, international environmental diplomacy is facing a transformative phase. The urgency of addressing climate change, underscored by its increasingly tangible impacts, necessitates the swift development and implementation of effective environmental policies on the international stage. Thus, a nuanced understanding of and active participation in international environmental diplomacy is paramount. This research delves into the contemporary impediments that have surfaced within international environmental diplomacy. These include the complex dynamics between developed and developing nations, the challenges of reconciling economic growth with environmental protection, and the evolving landscape of global environmental management. Moreover, the study examines the role of international agreements like the Paris Agreement in shaping the course of environmental diplomacy. Against this backdrop, the paper underscores the importance of seeking policy countermeasures to overcome these impediments. It emphasizes the need for diplomatic strategies that bridge the gap between developed and developing countries, ensuring equitable access to resources and technology transfer. Additionally, it highlights the significance of aligning economic growth with environmental sustainability, advocating for environmentally friendly technologies and practices. Moreover, the research explores the potential of innovative governance mechanisms to enhance global environmental management.
Show more
Read Article PDF
Cite
Research Article Open Access
The Influences of Parenting Style on Child Self-regulation
Self-regulation ability is important for developing and maintaining organized behavior. These skills participate in several tasks and help an individual to perform better. Parental influence can shape children’s behavior and have further effects on their self-regulation ability. This research focuses on the interaction between parenting style and children’s self-regulation skills in China. All studies were based on scales. Self-regulation Questionnaire and Parenting style scale were used to determine the different factors in this research. In addition, other questions evaluating family status and child academic performance are added. 146 effective responses were received. Children with authoritative parents show a higher self-regulation ability. While authoritarian and neglect parents may contribute to the low self-regulation ability of the child. Whereas, Gender shows no significant difference in these skills. And mother shows a greater influence on the child than the father. Further research is needed to study self-regulation and child development deeply.
Show more
Read Article PDF
Cite